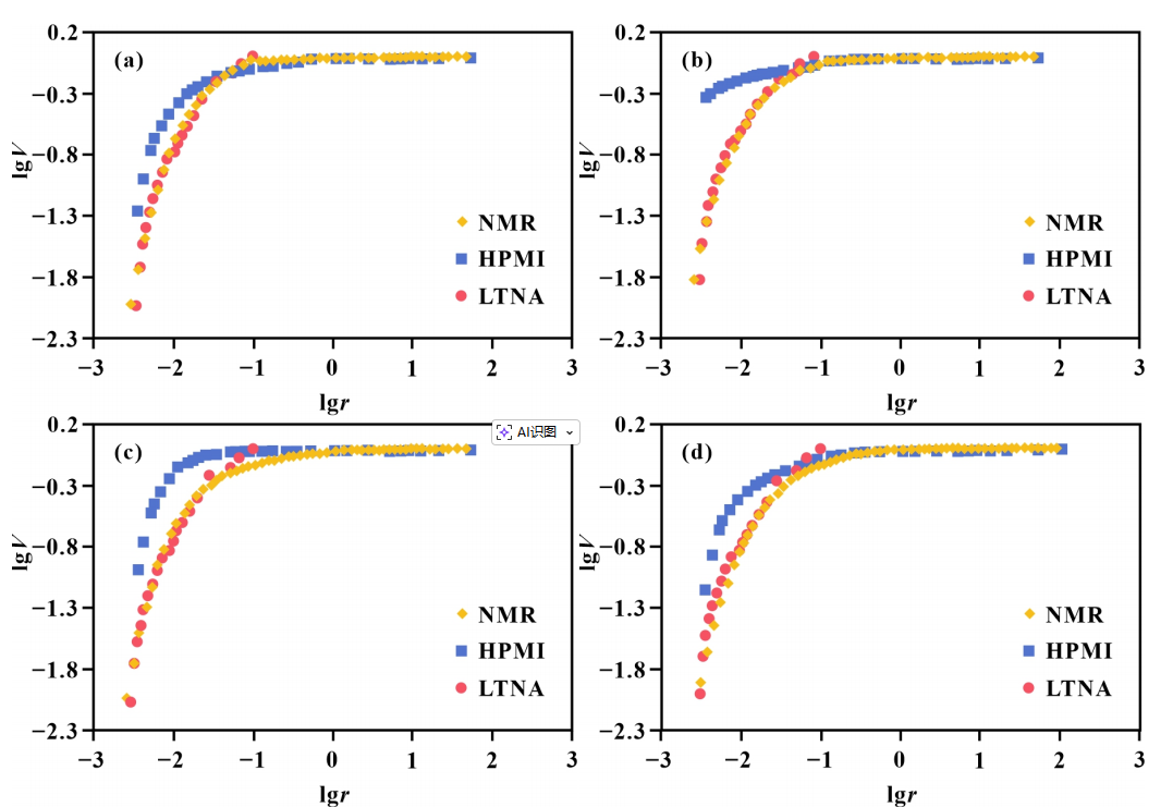
致密砂岩储层的微观孔喉结构复杂,非均质性强,常规的欧几里得几何方法难以精确表征其全尺度孔隙特征。分形理论描述了局部结构与整体结构之间的尺度不变自相似性。已有研究表明,多孔介质中的微观孔喉系统具有此类分形特征,这使得分形几何成为分析致密砂岩孔隙结构的有力工具。尽管高压压汞(HPMI)、低温氮气吸附(LTNA)和核磁共振(NMR)等技术已被广泛应用于孔隙结构研究,但现有分形模型多基于单一实验方法,缺乏有效的跨尺度数据融合框架,尤其对纳米孔隙的分形表征能力不足,不利于储层孔隙结构的系统评价与油气勘探实践。
针对这一问题,冰球突破mg正规官网冰球突破mg正规官网张洋晨博士在导师曲希玉副教授的指导下,基于传统分形理论,提出了一种融合HPMI与LTNA数据的全尺度孔隙分形模型。该模型通过定义转换系数Z,实现了两种方法在统一坐标体系下的数据融合,并利用松辽盆地营城组与吐哈盆地西山窑组致密砂岩样品进行了验证。结果表明,HPMI单独表征的孔喉系统呈现两段式或三段式分形特征,在小孔区域(<50 nm)存在显著偏差;LTNA数据则表现出良好的单段式纳米孔分形特征,验证了其对纳米孔隙表征的可靠性。通过引入转换系数Z,模型成功将HPMI与LTNA分形曲线衔接,构建了覆盖纳米至微米尺度的全孔径分形模型(图1)。
同时,研究将该模型应用于NMR T2弛豫时间的标定与孔喉分布重建。通过调整转换系数CN,使NMR分形曲线与全尺度模型曲线重合,从而获得标定后的NMR孔喉半径分布。对比表明,基于全尺度模型重建的T2分布与实验实测结果在单峰型孔喉系统中高度吻合,累积孔喉体积分布曲线的拟合优度R2达0.99897(图2),验证了模型的有效性与实用性。分形维数的对比分析显示,HPMI单独计算的中孔分形维数与NMR结果的最大相对误差高达170.65%,而全尺度模型的中孔分形维数误差普遍低于10%,显著提升了表征精度。

图1. 致密砂岩样品NMR分形模型与全尺度分形模型的比较
(a) Well B206, 3235.57 m, Songliao Basin; (b) Well B206, 3332.66 m, Songliao Basin; (c) Well B206, 3409.82 m, Songliao Basin; (d) Well B208, 3590.12 m, Songliao Basin
同时,研究将该模型应用于NMR T2弛豫时间的标定与孔喉分布重建。通过调整转换系数CN,使NMR分形曲线与全尺度模型曲线重合,从而获得标定后的NMR孔喉半径分布。对比表明,基于全尺度模型重建的T2分布与实验实测结果在单峰型孔喉系统中高度吻合,累积孔喉体积分布曲线的拟合优度R2达0.99897(图2),验证了模型的有效性与实用性。分形维数的对比分析显示,HPMI单独计算的中孔分形维数与NMR结果的最大相对误差高达170.65%,而全尺度模型的中孔分形维数误差普遍低于10%,显著提升了表征精度。

图2.(a)使用逻辑函数对T2累积分布进行校准;(b)由积分HPMI-LTNA数据推导出的预NMR T2弛豫时间分布
研究成果近期发表在数学和地学领域国际重要期刊Fractal and Fractional。论文获得新型油气勘探开发国家科技重大专项、山东省自然科学基金及冰球突破mg正规官网研究生创新基金项目的联合资助。论文第一作者为冰球突破mg正规官网冰球突破mg正规官网博士研究生张洋晨,通讯作者为冰球突破mg正规官网冰球突破mg正规官网曲希玉副教授。合作作者包括长春工程学院苗长盛教授、冰球突破mg正规官网王伟明副教授、温竞凯以及陆昊博。
论文信息:Yangchen Zhang, Xiyu Qu, Changsheng Miao, Weiming Wang, Jingkai Wen, Haobo Lu. 2024. A Full-Scale Pore Fractal Modeling Approach for TightSandstone Reservoirs Integrating HPMI and LTNA Data. Fractal and Fractional,https://doi.org/10.1016/j.marpetgeo.2024.107181.